1. 2017-2019年分数线
2019年——
学硕:岩土,交通、灾害,防灾减灾,道路交通270;结构306;市政336;桥梁隧道,水工结构300;水文学和水资源,港口、海岸近海260。
专硕:建筑与土木工程329;水利305;交通运输337;工程管理170。
2018年——
学硕:工程力学,防灾减灾,交通安全,道路交通,水文学水资源260;岩土310;结构290;市政323;桥梁隧道298;水工结构286;港口海岸300。
专硕:建筑与土木工程276;水利303;交通316;工程管理170。
2017年——
学硕:工程力学303;岩土305;结构322;市政311;防灾减灾307;桥梁312;交通安全322;水文学水资源355;水工结构276;港口海岸近海337。
专硕:建筑与土木工程314;水利281;交通运输278。
2. 2017-2019年报录比
2019年——
未公布
2018年——
学硕:12.8% 专硕:20.5%
2017年——
学硕:18.1% 专硕:27.8%
3. 2019年方面招生名额

4. 专业课考试科目
(828)结构力学
5. 专业课考试分析
初试
初试考(828)结构力学,会考简答题,但简答题很简单,综合来看其专业课难度是211院校当中偏简单的。但是近几年也增加了一些偏难考点,例如牵连位移等。

复试
- 复试分数组成
复试成绩满分为100分,其中专业课测试40分,综合素质及能力测试40分,英语听力、口语及专业英语测试共20分(其中专业英语8分,英语听力8分,英语口语4分)。
入学考试总成绩=初试成绩/5×50%+复试成绩×50%
- 复试科目


6. 报考难度点评
总的来看,难度不小,虽然福州大学招收人数不少,但报名人数却特别多,导致了较低的报录比,竞争比较激烈。
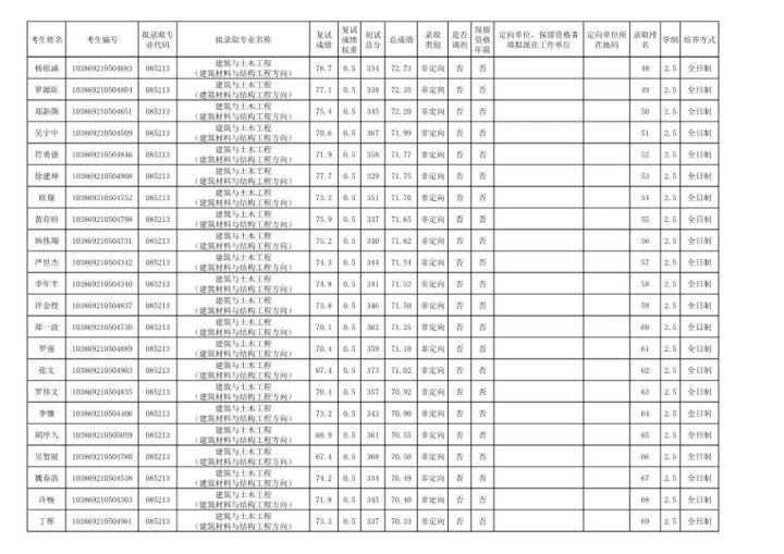
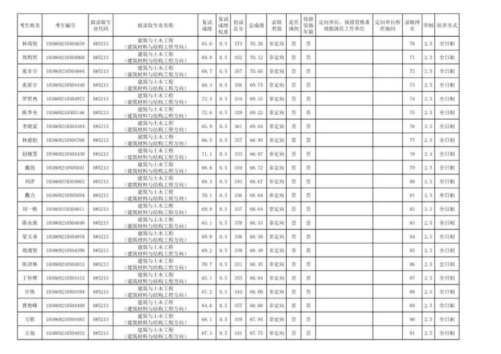
7. 2019年拟录取名单


















